
Definisi Operasional: Aktivitas serta sarana/prasarana pendukung dalam memperoleh, menguji kesahihan, dan menghasilkan informasi dan pengetahuan untuk pemberdayaan kecakapan masyarakat
| Kode | Indikator | Nilai Minimum | Nilai Maksimum | Sumber Data |
|---|---|---|---|---|
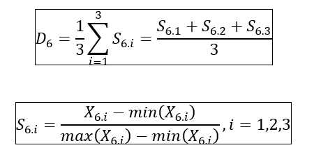
| X6.1 | Persentase penduduk usia 10 tahun ke atas yang membaca selain kitab suci baik cetak maupun elektronik dalam seminggu terakhir | 0 | 70 | Susenas MSBP |
| X6.2 | Persentase penduduk usia 10 tahun ke atas yang mengakses internet dalam 3 bulan terakhir | 0 | 85 | Susenas Kor |
| X6.3 | Persentase penduduk usia 10 tahun ke atas yang mengunjungi perpustakaan/memanfaatkan taman bacaan masyarakat dalam 3 bulan terakhir | 0 | 25 | Susenas MSBP |
| Kode | Indikator | Nilai Minimum | Nilai Maksimum | Sumber Data |
|---|---|---|---|---|
| X6.1 | Persentase penduduk yang membaca selain kitab suci baik cetak maupun elektronik | 0 | 72 | Susenas Modul |
| X6.2 | Persentase penduduk yang mengakses internet | 0 | 98 | Susenas KOR |
| X6.3 | Persentase penduduk yang mengunjungi perpustakaan/memanfaatkan taman bacaan masyarakat | 0 | 25 | Susenas Modul |
* Disclaimer : nilai proyeksi 2024 merupakan hasil perhitungan berdasarkan serias data sebelumnya.