
Definisi Operasional: Ketahanan Sosial Budaya Ketahanan Sosial Budaya dalam konteks penyusunan IPK didefinisikan sebagai kemampuan suatu kebudayaan dalam mempertahankan dan mengembangkan identitas, pengetahuan, serta praktik budayanya yang relevan yang didukung oleh kondisi sosial dalam masyarakat.
| Kode | Indikator | Nilai Minimum | Nilai Maksimum | Sumber Data |
|---|---|---|---|---|
| X3.1 | Persentase rumah tangga yang setuju jika ada sekelompok orang dari agama lain yang melakukan kegiatan di lingkungan sekitar tempat tinggal. | 0 | 100 | Susenas MSBP |
| X3.2 | Persentase rumah tangga yang setuju jika ada sekelompok orang dari suku lain yang melakukan kegiatan di lingkungan sekitar tempat tinggal. | 0 | 100 | Susenas MSBP |
| X3.3 | Persentase rumah tangga yang setuju jika salah satu anggota rumah tangga berteman dengan orang lain yang beda agama. | 0 | 100 | Susenas MSBP |
| X3.4 | Persentase rumah tangga yang setuju jika salah satu anggota rumah tangga berteman dengan orang lain yang berbeda suku. | 0 | 100 | Susenas MSBP |
| X3.5 | Persentase penduduk usia 10 tahun ke atas yang mengikuti kegiatan sosial kemasyarakatan di lingkungan sekitar dalam 3 bulan terakhir | 0 | 100 | Susenas MSBP |
| X3.6 | Persentase penduduk usia 10 tahun ke atas yang mengikuti gotong royong | 0 | 100 | Susenas MSBP |
| X3.7 | Persentase rumah tangga yang merasa khawatir dengan keamanan saat berjalan kaki sendirian di malam hari | 0 | 50 | Susenas Hansos/SPTK |
| X3.8 | Persentase rumah tangga yang merasa percaya menitipkan rumah kepada tetangga | 0 | 100 | Susenas Hansos/SPTK |
| Kode | Indikator | Nilai Minimum | Nilai Maksimum | Sumber Data |
|---|---|---|---|---|
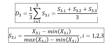
| X3.1 | Persentase rumah tangga yang setuju jika ada sekelompok orang dari suku lain yang melakukan kegiatan di lingkungan sekitar tempat tinggal | 0 | 100 | Susenas Modul |
| X3.2 | Persentase penduduk yang mengikuti kegiatan sosial kemasyarakatan di lingkungan sekitar | 0 | 100 | Susenas Modul |
| X3.3 | Persentase rumah tangga yang merasa aman saat berjalan kaki sendirian pada malam hari di lingkungan sekitar rumah | 0 | 100 | Susenas Modul |
* Disclaimer : nilai proyeksi 2024 merupakan hasil perhitungan berdasarkan serias data sebelumnya.