
Definisi Operasional: Usaha sadar dan terencana untuk mewujudkan suasana belajar dan proses pembelajaran yang inklusif agar peserta didik secara aktif mengembangkan potensi dirinya dalam bidang Seni, Budaya, dan Bahasa
| Kode | Indikator | Nilai Minimum | Nilai Maksimum | Sumber Data |
|---|---|---|---|---|
| X2.1 | Rata-rata Lama Sekolah (MYS) penduduk usia 25 tahun ke atas | 0 | 15 | Susenas KOR |
| X2.2 | Harapan Lama Sekolah (HLS) penduduk usia 7 tahun ke atas | 0 | 18 | Susenas KOR |
| X2.3 | Angka Kesiapan Sekolah (AKS) | 0 | 100 | Susenas KOR |
| X2.4 | Persentase satuan pendidikan yang mempunyai guru yang mengajar muatan lokal bahasa daerah dan/atau ekskul kesenian | 0 | 45 | Kemendikbud (DAPODIK) |
| X2.5 | Persentase penduduk penyandang disabilitas usia 7-18 tahun yang bersekolah | 0 | 100 | Susenas KOR |
| X2.6 | Persentase penduduk usia 7-18 tahun dengan kategori kelompok pengeluaran 40 persen terbawah yang bersekolah | 0 | 100 | Susenas KOR |
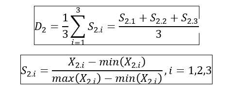
| Kode | Indikator | Nilai Minimum | Nilai Maksimum | Sumber Data |
|---|---|---|---|---|
| X2.1 | Persentase satuan pendidikan yang mempunyai guru yang mengajar muatan lokal bahasa daerah dan/atau ekskul kesenian | 0 | 96 | Kemendikbud (DAPODIK) |
| X2.2 | Persentase guru yang mengajar bahasa dan budaya lokal terhadap total guru | 0 | 55 | Kemendikdasmen & Kemenag |
| X2.3 | Persentase penduduk yang terlibat dalam kegiatan pelatihan dan/atau pembelajaran seni dan budaya yang bersifat nonformal dan informal | 0 | 90 | Survei Mandiri |
* Disclaimer : nilai proyeksi 2024 merupakan hasil perhitungan berdasarkan serias data sebelumnya.