
Definisi Operasional: Aktivitas ekonomi yang tercipta sebagai hasil dari pemanfaatan Objek Pemajuan Kebudayaan
| Kode | Indikator | Nilai Minimum | Nilai Maksimum | Sumber Data |
|---|---|---|---|---|
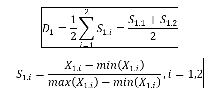
| X1.1 | Persentase penduduk 15 tahun ke atas yang pernah terlibat sebagai pelaku/pendukung pertunjukan seni yang menjadikan keterlibatannya itu sebagai sumber penghasilan | 0 | 1 | Susenas MSBP |
| Kode | Indikator | Nilai Minimum | Nilai Maksimum | Sumber Data |
|---|---|---|---|---|
| X1.1 | Persentase penduduk yang pernah terlibat sebagai pelaku/pendukung pertunjukan seni yang menjadikan keterlibatannya itu sebagai sumber penghasilan | 0 | 1 | Susenas Modul |
| X1.2 | Persentase pengeluaran konsumsi rumah tangga untuk kegiatan, barang dan jasa kebudayaan terhadap total pengeluaran konsumsi | 0 | 13 | Susenas KP |
* Disclaimer : nilai proyeksi 2024 merupakan hasil perhitungan berdasarkan serias data sebelumnya.