
Definisi Operasional: Segala aktivitas yang dilakukan untuk mendukung proses penciptaan karya budaya yang dihasilkan masyarakat
| Kode | Indikator | Nilai Minimum | Nilai Maksimum | Sumber Data |
|---|---|---|---|---|
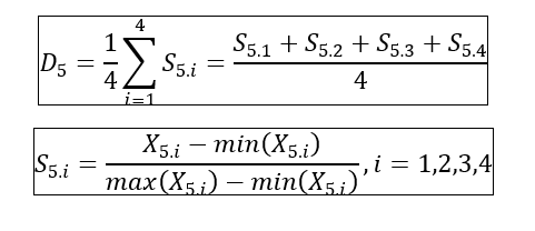
| X5.1 | Persentase penduduk usia 10 tahun ke atas yang memberikan saran atau pendapat dalam kegiatan rapat selama setahun terakhir | 0 | 30 | Susenas MSBP |
| X5.2 | Persentase penduduk usia 10 tahun ke atas yang aktif mengikuti kegiatan organisasi dalam setahun terakhir | 0 | 20 | Susenas MSBP |
| X5.3 | Persentase penduduk usia 10 tahun ke atas yang pernah terlibat sebagai pelaku/pendukung pertunjukkan seni dalam 3 bulan terakhir | 0 | 7 | Susenas MSBP |
| X5.4 | Persentase rumah tangga yang menyelenggarakan atau menghadiri upacara adat dalam setahun terakhir | 0 | 45 | Susenas MSBP |
| Kode | Indikator | Nilai Minimum | Nilai Maksimum | Sumber Data |
|---|---|---|---|---|
| X5.1 | Persentase penduduk yang pernah terlibat sebagai pelaku/pendukung pertunjukkan seni | 0 | 20 | Susenas Modul |
| X5.2 | Persentase rumah tangga yang menyelenggarakan upacara adat | 0 | 60 | Susenas Modul |
| X5.3 | Persentase penduduk yang melakukan olahraga tradisional dan/atau permainan rakyat | 0 | 33 | Susenas Modul |
| X5.4 | Persentase penduduk yang merasa aman dan diterima saat menampilkan identitas budaya (mengekspresikan budaya) di ruang publik | 0 | 100 | Survei Mandiri |
* Disclaimer : nilai proyeksi 2024 merupakan hasil perhitungan berdasarkan serias data sebelumnya.